通知公告

首页 > 通知公告 > 正文
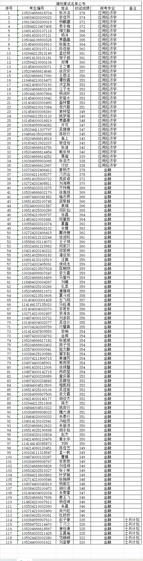
【调剂名单】yl23455永利2024 年硕士研究生调剂复试名单
作者:yl23455永利  编辑:张琴   发布时间:2024-04-10  发布来源:yl23455永利    浏览次数:


友情链接

  • 集团微信公众号

  • 员工会微信公众号

  • 公司微信公众号

版权所有 yl23455永利官网 - 永利集团登录入口

地址:湖北省武汉市江夏区阳光大道1号 邮编:430200 电话:027-59367570